近日,英国365公司量子与分子结构国际中心(ICQMS)、物理系任伟教授团队在氮化物半导体领域取得系列研究进展。研究成果近期分别以“Huge Piezoelectric Response of LaN-based Superlattices”,“First-principles prediction of a room-temperature ferromagnetic and ferroelastic 2D multiferroic MnNX (X = F, Cl, Br, and I)”和“Ferroic Properties and Piezoelectric Response of Mg2XN3 (X = V, Cr)”为题发表在美国化学会ACS Applied Materials & Interfaces(IF= 8.758),英国皇家化学会Nanoscale(IF= 6.895)和美国物理联合会Applied Physics Letters(IF= 3.597)上。该系列工作由任伟教授(通讯作者)团队独立完成,英国365公司物理系为论文第一单位,物理系2019级硕士研究生胡铭郎同学为论文第一作者。
在现代社会中越来越依赖于半导体,对新型半导体材料的探索已成为一个从根本上和技术上重要的问题。在众多化合物半导体中,氮化物由于具有丰富且对环境无害的氮成分而更具有吸引力。同时,许多氮化物在高温下具有相对较高的化学稳定性,这对于在恶劣环境下的应用是有利的。
任伟教授团队通过基于密度泛函理论(DFT)的第一性原理计算,获得了以下系列成果:
1. 由于两种稀土氮化物中母相结构的紧密竞争(两种氮化物的体积相似),使得组合的超晶格表现出更加平坦的势能分布和比母相更大的压电响应。
此工作验证了体积匹配机制同样适用于识别超晶格型的压电材料,并预测其可能可以应用于非氮化物。(ACS Applied Materials & Interfaces)

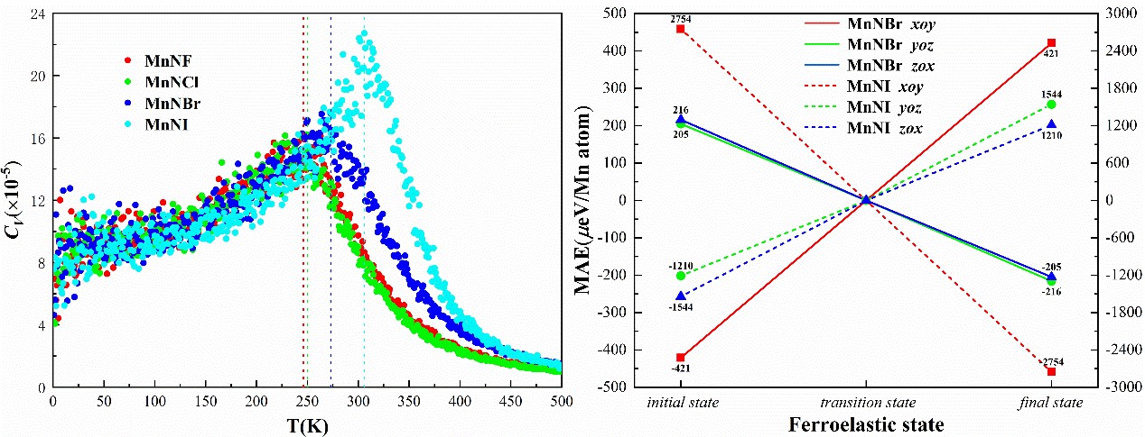
2. 一类同时具有室温铁磁性和面内铁弹性的二维多铁过渡金属卤氮化物,通过可逆的单轴面内应变可以调控面内铁磁性转换。
此工作为未来实验以及纳米级新功能材料的设计提供了指导,例如应变可控自旋电子器件。(Nanoscale)

3. 一组同时表现出显著铁电极化和压电响应的氮化物,并预测与V相邻的Cr元素组成的化合物是具有铁磁基态的多铁性材料。
此工作为氮化物材料在自旋电子学、传感器和存储器件中的潜在应用提供了指导。(Applied Physics Letters)

该系列研究工作得到了国家自然科学基金-金砖国家科技创新框架计划合作研究项目No. 51861145315、国际合作项目No. 51911530124、面上项目No. 51672171,No. 11929401和No. 12074241和的支持。
论文链接:https://doi.org/10.1021/acsami.0c14969
论文链接:https://doi.org/10.1039/D0NR06268E
论文链接:https://doi.org/10.1063/5.0044496